数据结构和算法-链表问题总结

链表翻转(Reverse Linked List)

实现翻转链表的功能

方法一:原地翻转

1
2
3
4
5
6
7
8
9
10
11
12
13
14
15
16
17
18
19
20
21
22
23
24
25
26
27
28
29
30
31
32
33
34
35
36
37
38
39
40
41
42
43
44
45
46
47
48
49
50
51
52
53
54
55
56
57
58
59
60
61
62
63
64
65
66
67
68
69
70
71
72
73
74
75
76
77
78
79
80
81
82
83
84
85
86
87
88
89
90
91
92
93
94
95
96
97
98
99
100
101
102
103
104
105
106
107
108
109
110
111
112
113
114
115
116
117
public class ReverseLinkedList {
public ListNode reverseList(ListNode head) {
//原地翻转法
if(head == null)
return head;
ListNode pre = null;
ListNode cur = head;
ListNode next = head;
while(cur != null) {
next = cur.next;
cur.next = pre;
pre = cur;
cur = next;
}
return pre;
}
}
```

## 方法二:建立新链表,插入式翻转

```java
public class ReverseLinkedList {
public ListNode reverseList(ListNode head) {
//建立新链表,添加节点翻转法
if(head == null)
return head;
ListNode dumpy = new ListNode(-1);
ListNode cur = head;
while(cur != null) {
ListNode nex = cur.next;
cur.next = dumpy.next;
dumpy.next = cur;
cur = nex;
}
return dumpy.next;
}
}
```

# 合并两个排序的链表
**题目描述**
>输入两个单调递增的链表,输出两个链表合成后的链表,当然我们需要合成后的链表满足单调不减规则。

```java
//递归版实现
public class Solution {
public ListNode Merge(ListNode list1,ListNode list2) {
if(list1 == null){
return list2;
}
if(list2 == null){
return list1;
}
if(list1.val <= list2.val){
list1.next = Merge(list1.next, list2);
return list1;
}else{
list2.next = Merge(list1, list2.next);
return list2;
}
}
}
//非递归迭代版
public class Solution {
public ListNode Merge(ListNode list1,ListNode list2) {
ListNode head = new ListNode(-1);
ListNode cur = head;
while(list1!=null && list2!=null){
if(list1.val <=list2.val){
cur.next = list1;
list1 = list1.next;
}else{
cur.next = list2;
list2 = list2.next;
}
cur = cur.next;
}
if(list1==null){
cur.next = list2;
}else if(list2==null){
cur.next = list1;
}
return head.next;
}
}
```

# 链表中倒数第k个结点

**问题描述:**
>输入一个链表,输出该链表中倒数第k个结点。

**解题思路:快慢指针法**
使用两个指针,fast 和 slow。 首先 fast 从链表头顺序移动 k 个节点, 将 slow 指向链表头部, 连个指针此时相差 k 个节点, 让两个指针同时移动,直到 fast 到了链表尾部,此时 slow指针所指向的节点就是链表的倒数第 k 个节点。

```java
public class Solution {
public ListNode FindKthToTail(ListNode head,int k) {
if(head==null || k==0){
return null;
}
ListNode fast = head;
ListNode slow = head;
for(int i=0; i<k-1; i++){
fast = fast.next;
if(fast == null){
return null;
}
}
while(fast.next != null){
fast = fast.next;
slow = slow.next;
}
return slow;
}
}

链表中环的入口结点

题目描述

给一个链表,若其中包含环,请找出该链表的环的入口结点,否则,输出null。

解题思路:

方法一:哈希法

  • 遍历单链表的每个结点
  • 如果当前结点地址没有出现在set中,则存入set中
  • 否则,出现在set中,则当前结点就是环的入口结点
  • 整个单链表遍历完,若没出现在set中,则不存在环
1
2
3
4
5
6
7
8
9
10
11
12
13
14
15
16
17
18
public class Solution {
public ListNode EntryNodeOfLoop(ListNode pHead)
{
if(pHead == null){
return null;
}
HashSet<Integer> set = new HashSet<>();
while(pHead != null){
if(! set.contains(pHead.val)){
set.add(pHead.val);
pHead = pHead.next;
}else{
return pHead;
}
}
return null;
}
}

方法二:双指针法

两个链表的第一个公共结点

问题描述

输入两个链表,找出它们的第一个公共结点。(注意因为传入数据是链表,所以错误测试数据的提示是用其他方式显示的,保证传入数据是正确的)

解题思路

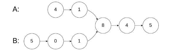
l1.PNG

试想一种理想情况:链表A头结点到结点8的长度与链表B头结点到结点8的长度相等,那么就可以用双指针。

-1. 初始化:指针ta指向链表A头结点,指针tb指向链表B头结点   
-2. 如果ta == tb, 说明找到了第一个公共的头结点,直接返回即可。    
-3. 否则,ta != tb,则++ta,++tb   

l2.PNG

显然图一中第一个公共结点为8,但是链表A头结点到8的长度为2,链表B头结点到8的长度为3,显然并不相等。 所以需要制造这种理想情况。

假设链表A长度为a, 链表B的长度为b,此时a != b
但是,a+b == b+a
因此,可以让a+b作为链表A的新长度,b+a作为链表B的新长度。

l3.PNG

代码实现

1
2
3
4
5
6
7
8
9
10
11
12
13
14
15
16
17
18
19
20
21
22
  
/*
public class ListNode {
int val;
ListNode next = null;
ListNode(int val) {
this.val = val;
}
}*/
public class Solution {
public ListNode FindFirstCommonNode(ListNode pHead1, ListNode pHead2) {
if(pHead1==null || pHead2==null){
return null;
}
ListNode p1 = pHead1;
ListNode p2 = pHead2;
while(p1 != p2){
p1 = p1 == null ? pHead2 : p1.next;
p2 = p2 == null ? pHead1 : p2.next;
return p1;
}
}

复杂链表的复制

题目描述:

输入一个复杂链表(每个节点中有节点值,以及两个指针,一个指向下一个节点,另一个特殊指针random指向一个随机节点),请对此链表进行深拷贝,并返回拷贝后的头结点。(注意,输出结果中请不要返回参数中的节点引用,否则判题程序会直接返回空)

解题思路:
1.png

1
2
3
4
5
6
7
8
9
10
11
12
13
14
15
16
17
18
19
20
21
22
23
24
25
26
27
28
29
30
public class Solution {
public RandomListNode Clone(RandomListNode pHead)
{
if(pHead == null){
return null;
}
RandomListNode pNew = pHead;
while(pNew != null){
RandomListNode cloneNode = new RandomListNode(pNew.label);
RandomListNode nextNode = pNew.next;
cloneNode.next = nextNode;
pNew.next = cloneNode;
pNew = nextNode;
}
pNew = pHead;
while(pNew != null){
pNew.next.random = pNew.random==null? null: pNew.random.next;
pNew = pNew.next.next;
}
pNew = pHead;
RandomListNode pClone = pHead.next;
while(pNew != null){
RandomListNode tempNode = pNew.next;
pNew.next = tempNode.next;
tempNode.next = tempNode.next==null?null:tempNode.next.next;
pNew = pNew.next;
}
return pClone;
}
}

链表中的节点每k个一组翻转

题目描述:
将给出的链表中的节点每 k 个一组翻转,返回翻转后的链表
如果链表中的节点数不是 k 的倍数,将最后剩下的节点保持原样
你不能更改节点中的值,只能更改节点本身。
要求空间复杂度 O(1)
例如:
给定的链表是1->2->3->4->5
对于 k=2, 你应该返回 2→1→4→3→5
对于 k=3, 你应该返回 3→2→1→4→5